
В интернете не могут решить простой пример с одной дробью. У людей получается то 1, то 4
В этой дроби и вся проблема.
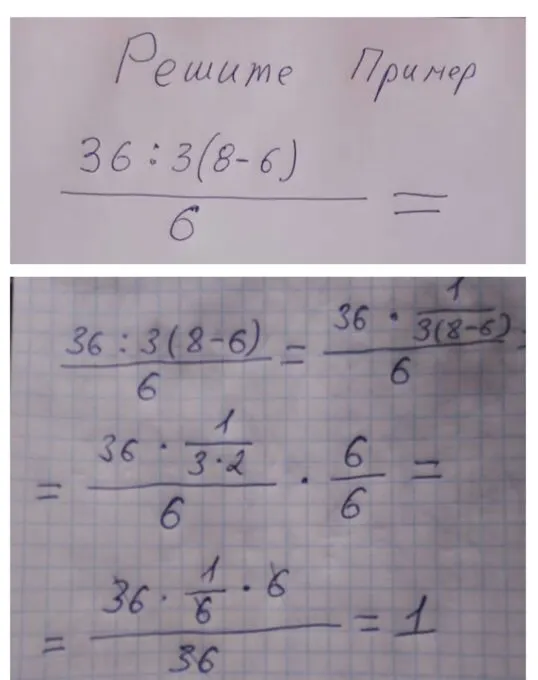
Пользователь твиттера «Кот с примусом» с ником @kotia5959 выложил простой математический пример из средней школы. При записи на компьютере он кажется несложным и выглядит как 36 : 3 (8-6) / 6 = ? Но главная трудность состоит именно в записи – вместо последнего деления автор использовал дробную черту. «1 вроде?» – засомневался Кот с примусом.
В комментариях началась привычная ругань. Два основных варианта ответа – 1 и 4. «4. Умножение и деление имеют одинаковый приоритет, выполняются слева направо. Горизонтальная дробная черта имеет самый низкий приоритет, выполняется в последнюю очередь», – сообщил пользователь с ником @Wodhinaz.
«Знака умножения после тройки нет, она вынесена за скобку как общий множитель. Поэтому 1. Впрочем, систему записи нужно уточнять, запись делать так, чтобы не создавать неопределенности в трактовке и разночтений», – поспорил с ним Александр Белозеров. Юзер FrontFriend вовсе привел более сложный способ вычисления, но у него тоже получился ответ 1.

Другие комментаторы предложили третий, самый нестандартный вариант. «При таком условии ответ 1, так как мысленно можно верхнему уровню подрисовать скобки. А будь тут трехуровневая дробь вида a/b/c, то правильным решением было бы a*с/b. То есть для 36/3*(8-6)/6 было бы 36*6/3*(8-6) и ответ был бы 36», – заявил Игнат @GoldmanDesu.
Конечно, проблема в записи – математик Борис Трушин на другом примере объяснял, что если задачку можно прочитать двояко, то автор точно составил ее некорректно. Здесь вся загвоздка именно в отсутствии знака умножения перед скобками, и если его добавить, то правильный ответ будет 4. Всё дело в дроби, которая усложняет конечное вычисление.
В интернете не могут решить простой школьный пример. Даже математики дают неверный ответ