
Как выразить 10 пятью девятками? Задача из советского учебника взрывает мозг
Но в интернете помогли Перельману с еще одним верным ответом.
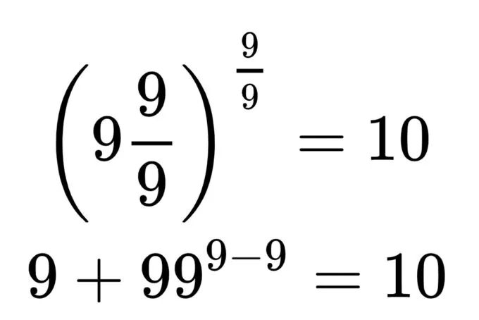
Вопросы из старых советских задачников до сих пор ставят в тупик даже современных взрослых людей с высшим образованием. Например, в книге «Живая математика» Якова Перельмана можно найти такой пример: «Выразите 10 пятью девятками. Укажите, по крайней мере, два способа».
Задача из решебника, впервые опубликованного в 1934 году, действительно напрягает. То есть для правильного ответа нужно каким-то образом скомпоновать девятки друг с другом и расположить их в верном порядке с математическими знаками.
Но на самом деле, правильное решение связано с дробями. Можно представить единицу как (99/99) и прибавить к ней еще 9. Или же прийти к 10 через пример 11-1 – но число и цифру записать как (99/9)-(9/9) = 10. В обоих случаях в записи, как и требует условие, окажется пять девяток.

«Надеюсь, что знакомство с этой книжкой не прошло для читателя бесследно, что оно не только развлекло его, но и принесло известную пользу, развив его сметливость, находчивость, научив более умело распоряжаться своими знаниями. Читатель, вероятно, и сам желал бы теперь испытать на чем-нибудь свою сообразительность», – сообщил в предисловии к этому блоку задач автор книги Яков Перельман.

Математик также предложил более сложные способы: «Кто знает алгебру, тот может прибавить еще несколько решений, например». А обычная пользовательница Ксения с сайта Учи.ру добавила еще один вариант, не указанный в советском решебнике. Он выглядит следующим образом: 9 х 9 / 9 / 9 + 9 = 10. И, судя по всему, Перельман тоже зачел бы его как правильный.
Что не так со странной картинкой про врача и роженицу? Люди дают кучу безумных ответов